Julia DSC: Standard nové generace pro precizní termickou analýzu materiálů

- Foto: Anton Paar: Julia DSC: Standard nové generace pro precizní termickou analýzu materiálů
- Video: Anton Paar: Differential Scanning Calorimeter Julia DSC for Fast, Reliable Results | Anton Paar
V oblasti materiálového inženýrství a charakterizace látek představuje diferenciální skenovací kalorimetrie (DSC) jeden ze základních pilířů moderní analýzy. Její princip spočívá ve sledování rozdílu tepelného toku mezi vzorkem a referenčním materiálem při definovaném teplotním programu. Při zahřívání nebo ochlazování může docházet k endotermickým dějům (např. tání), kdy systém přijímá teplo, nebo k exotermickým dějům (např. krystalizace či chemické reakce), kdy se teplo uvolňuje. DSC tak umožňuje nejen detekci přechodů, ale i jejich kvantifikaci pomocí integračních metod, ze kterých lze určit entalpii přechodu. Významnou aplikací je studium vulkanizace, kdy DSC dokáže sledovat exotermní reakce spojené s tvorbou polymerní sítě a umožňuje optimalizovat podmínky zpracování, což vede ke zlepšení mechanických vlastností a snížení výrobních nákladů.
Společnost Anton Paar představuje nový diferenciální skenovací kalorimetr Julia DSC. Tento přístroj je navržen tak, aby vyhovoval nejen náročným požadavkům základního výzkumu, ale i vysokému tempu průmyslové kontroly kvality. Urychlí a usnadní Vám práci tam, kde na čase a přesnosti záleží nejvíce. Díky svému kompaktnímu designu je vhodný jak pro laboratorní, tak i provozní použití.
- Rychlé osvojení: S intuitivním softwarem Julia Suite se bez nutnosti učení dostanete k finálním výsledkům rychleji než kdy předtím. Speciální režim automatizované kontroly kvality Vám umožní vytvořit si šablonu pro jednoduché rozhodování splňuje/nesplňuje.
- Rychlé zchlazení: Unikátní modul vzduchového chlazení, využívající Peltierovu technologii, velmi rychle dosáhne teploty -35 °C bez externího chladicího zařízení. Připojení externího chladicího zařízení dále umožňuje rozšířit teplotní rozsah až na -170 °C až 600 °C.
- Efektivní automatizace: Autosampler Julia DSC zvyšuje Vaši kapacitu a zajišťuje konzistentní výsledky. 70 pozic pro vzorky a 8 vyhrazených pozic pro reference Vám umožní efektivně plánovat měření 24 hodin denně.
Anton Paar: diferenciální skenovací kalorimetr Julia DSC
Využijte možnost bezplatné zápůjčky a vyzkoušení.
Pro více informací kontaktuje obchodního zástupce:
- Ing. Martin Kolář
- e-mail: [email protected]
- tel.: +420 602 359 310
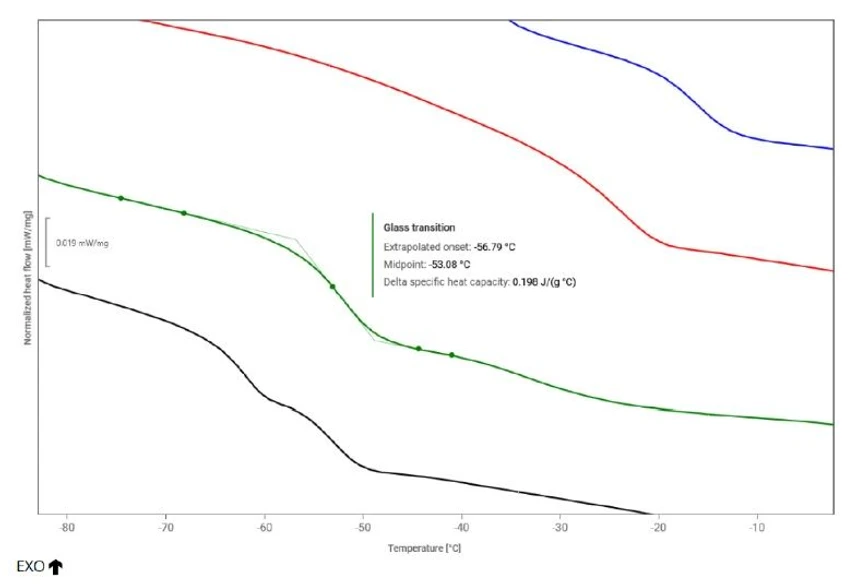
Příklad měření
Studium čtyř vzorků elastomerů; fluoroelastomer (FKM), nitril-butadienová pryž (NBR), zesítěná ethylen-propylen-dien monomer pryž (EPDM) a směs přírodní pryže a styren/butadienové pryže (NR/SBR). Každý vzorek byl charakterizován použitím dynamického teplotního programu 10 K/min.
Anton Paar: Obrázek 1 DSC křivky FKM (modrá), NBR (červená), EPDM (zelená) a NR/SBR (černá)
Každý materiál vykazoval rozdílnou teplotu skelného přechodu, viditelnou jako skok na křivce tepelného toku. Zatímco FKM, NBR a EPDM vykazovaly jeden, NR/SBR vykazoval zřetelný dvojitý přechod. Tento dvojitý skok potvrdil přítomnost více polymerních fází; směs NR/SBR obsahuje dobře oddělené segmenty přírodního kaučuku a syntetického styren-butadienového kaučuku. FKM vykazoval nejvyšší teplotu skelného přechodu, což odpovídá jeho tuhému fluorovanému řetězci a omezené flexibilitě při nízkých teplotách. EPDM vykazoval výrazně nižší teplotu skelného přechodu, což naznačuje vyšší pohyblivost řetězců a vhodnost pro použití v chladnějších podmínkách. NBR vykazoval střední hodnotu teploty skelného přechodu, což bylo způsobeno obsahem polárních nitrilových skupin, které omezují pohyb jeho řetězců. NR/SBR vykazoval dva různé přechody, které potvrdily koexistenci dvou komponent.
Z výsledků vyplynulo, že FKM je méně vhodný pro použití za nízkých teplot, zatímco EPDM vykazoval za nízkých teplot výbornou flexibilitu. NBR reprezentoval vyvážený kompromis, zatímco NR/SBR zdůrazňoval komplexní chování směsných systémů. Pochopení těchto principů umožnilo předvídat mechanické vlastnosti v prostředí nízkých teplot a napomohlo výběru správného materiálu.
Toto je pouze jeden z mála příkladů, který podporuje význam DSC jako spolehlivého nástroje pro hodnocení elastomerů a jejich přizpůsobení konkrétním průmyslovým požadavkům. Propojením chování při skelném přechodu s reálnými mechanickými vlastnostmi poskytuje DSC pevný základ pro zlepšení volby materiálu, jeho životnosti a celkové spolehlivosti v náročných podmínkách.
ANTON PAAR GmbH. DSC Characterization of Common Rubber Compounds. Application report No. E25IA018EN-A.




